• VIEW the color-coded reciprocal lattice.
  • VIEW the complete job log (probably only useful for diagnosing a failed job).
  • Anisotropy information extracted from the STARANISO log file for 2XGF:
  • Processing software:          MOSFLM(integration)  SCALA(scaling)
    STARANISO version: 3.0.19 (17-Jan-2026)   Run on: Fri, 23 Jan 2026 22:21:14 +0100.
    
    Using MTZ column labels:      IMEAN  SIGIMEAN  I(+)  SIGI(+)  I(-)  SIGI(-)
    
    Unit cell and space group:      157.340   53.980  112.750  90.00 100.43  90.00   'C 1 2 1'
    Nominal diffraction range:       21.916  2.200
    Input reflection count:           47650
    
    Diffraction cut-off criterion: Local <I/sd(I)> = 1.20
    
    Semi-axis d-spacings (Ang.) and corresponding principal axes of the ellipsoid fitted to the
    diffraction cut-off surface:
    
      Diffraction limit #1:  2.434   ( 0.9790,  0.0000, -0.2037)    0.964 a* - 0.266 c*
      Diffraction limit #2:  1.999   ( 0.0000,  1.0000,  0.0000)    b*
      Diffraction limit #3:  1.998   ( 0.2037,  0.0000,  0.9790)    0.293 a* + 0.956 c*
    
    The principal axes are given as direction cosines relative to the orthonormal basis (standard PDB
    convention), and also in terms of reciprocal unit-cell vectors.
    
    Worst diffraction limit after cut-off:
                2.739 at reflection  -57    1   12  in direction  -0.978 a* + 0.017 b* + 0.206 c*
    
    Best diffraction limit after cut-off:
                2.200 at reflection   54   12   15  in direction   0.942 a* + 0.209 b* + 0.262 c*
    
    NOTE that because the cut-off surface is likely to be only very approximately ellipsoidal, in part
    due to variations in reflection redundancy arising from the chosen collection strategy, the
    directions of the worst and best diffraction limits may not correspond with the reciprocal axes,
    even in high-symmetry space groups (the only constraint being that the surface must have point
    symmetry at least that of the Laue class).
    
    Scale:                       1.44739E+00    [ = factor to place Iobs on same scale as Iprofile.]
    Beq:                               18.10    [ = equivalent overall isotropic B factor on Fs.]
    
                                       B11      B22      B33      B23      B31      B12
    Baniso tensor:                   31.99    12.06    10.24     0.00    -5.01     0.00
    
    NOTE: The Baniso tensor is the overall anisotropy tensor on Fs.
    
    Delta-B tensor:                  13.90    -6.04    -7.86     0.00    -5.01     0.00
    
    NOTE: The delta-B tensor is the overall anisotropy tensor on Fs after subtraction of Beq from its
    diagonal elements (so trace = 0).  Neither this nor its eigenvalues shown below is used further in
    any computation, including in anisotropy correction and deposition.
    
    Eigenvalues of overall anisotropy tensor (Ang.^2), eigenvalues after subtraction of smallest
    eigenvalue (as used in the anisotropy correction) and corresponding eigenvectors of the overall &
    anisotropy tensor as direction cosines relative to the orthonormal basis (standard PDB convention),
    and also in terms of reciprocal unit-cell vectors:
    
      Eigenvalue #1:           33.10    23.96   ( 0.9767,  0.0000, -0.2145)    0.962 a* - 0.274 c*
      Eigenvalue #2:           12.06     2.92   ( 0.0000,  1.0000,  0.0000)    b*
      Eigenvalue #3:            9.14     0.00   ( 0.2145,  0.0000,  0.9767)    0.309 a* + 0.951 c*
    
    The eigenvalues and eigenvectors of the overall B tensor are the squares of the lengths and the
    directions of the principal axes of the ellipsoid that represents the tensor.
    
    Delta-B eigenvalues:             15.00    -6.04    -8.96
    
    The delta-B eigenvalues are the eigenvalues of the overall anisotropy tensor after subtraction of
    Beq (so sum = 0).
    
    Angle & axis of rotation of diffraction-limit ellipsoid relative to anisotropy tensor:
    
                                   0.64         0.0000  -1.0000   0.0000
    
    Anisotropy ratio:             1.324    [ = (Emax - Emin) / Beq ]
    Fractional anisotropy:        0.622    [ = sqrt(1.5 Sum_i (E_i - Beq)^2 / Sum_i E_i^2) ]
    
    Eigenvalues & eigenvectors of <I/sd(I)> anisotropy tensor:
    
                                   1.38         0.9774   0.0000  -0.2115       0.962 a* - 0.272 c*
                                   2.19         0.0000   1.0000   0.0000       b*
                                   2.44         0.2115   0.0000   0.9774       0.305 a* + 0.952 c*
    
    Eigenvalues & eigenvectors of weighted CC_1/2 anisotropy tensor:
    
                                  0.226         0.9798   0.0000  -0.2001       0.965 a* - 0.264 c*
                                  0.303         0.0000   1.0000   0.0000       b*
                                  0.319         0.2001   0.0000   0.9798       0.288 a* + 0.958 c*
    
    Eigenvalues & eigenvectors of <K-L divergence> anisotropy tensor:
    
                                  0.506         0.9776   0.0000  -0.2106       0.963 a* - 0.271 c*
                                  0.792         0.0000   1.0000   0.0000       b*
                                  0.877         0.2106   0.0000   0.9776       0.303 a* + 0.953 c*
    
    Eigenvalues & eigenvectors of <I/E[I]> anisotropy tensor:
    
                                 2.89E-01         0.9795   0.0000  -0.2014       0.964 a* - 0.265 c*
                                 3.59E-01         0.0000   1.0000   0.0000       b*
                                 3.77E-01         0.2014   0.0000   0.9795       0.290 a* + 0.957 c*
    
    Ranges of local <I/sd(I)>, local weighted CC_1/2, local <K-L divergence>, local <I/E[I]> and D-W factor [= exp(-4 pi^2 s.Us)]:
    
                      ISmean  CChalf  KLdive  IEmean  DWfact
      0   Grey                     Unobservable*
      1   Blue                      Observable*
      2   Red|Pink:9    1.20  0.3002   1.816   0.925  0.1612
      3   Orange        5.70  0.8938   2.916   1.031  0.2705
      4   Yellow       10.69  0.9361   3.638   1.113  0.4166
      5   Green        13.88  0.9540   3.961   1.189  0.5885
      6   Cyan         15.27  0.9614   4.124   1.262  0.7627
      7   Magenta      16.93  0.9647   4.467   1.377  0.9067
      8   White        18.03  0.9666   4.609   1.509  0.9890
    
    * Refer to GLOSSARY for explanation of terminology.
    
    The fitted cut-off surface uses a different color scheme:
    Unmeasured points are blue (inside the surface) or cyan (outside).
    Unobserved points are red (in) or green (out).
    Observed points are orange (in) or white (out).
    The fitted surface is magenta.
    
    Anisotropic S/N ratio:  5.78        [ = max_h | exp(4 pi^2 s_h.delta(B)s_h) - 1 | <I_h/sd(I_h)> ]
    
    The 'anisotropic S/N ratio', unlike the 'anisotropy ratio' or the 'fractional' anisotropy shown
    above, in addition to the anisotropy of the B tensor, takes both the diffraction and the local mean
    I/sd(I) into account.
    
    GoF to ellipsoid (d*):  0.0229    Fraction of surface points fitted:  100.0%  (     6606 /     6606)
    
    Number of observed reflections inside surface:      44099
    Number of unobserved reflections inside surface:     1397
    Number of observed reflections outside surface:         4
    
    Lowest cut-off diffraction limit:
                2.649 at reflection  -59    1   12  in direction  -0.980 a* + 0.017 b* + 0.199 c*
    
    Fraction of data inside cut-off surface:                           92.6%  (    44103 /    47650)
    
    Fraction of surface truncated by detector edges:                   17.4%  (      100 /      574)
    
    WARNING: Diffraction of the input data has probably been truncated due to an inappropriate
    (an)isotropic diffraction cut-off applied in previous processing, or the diffraction pattern may
    have extended beyond the edges of the detector.  In the latter case consider the possibilities of
    either moving the detector closer or swinging it out, having carefully checked in the former case
    that this will not create a risk of spot overlap.
    
    Fraction of total surface above threshold truncated by cusp(s):     0.0%  (        0 /      635)
    
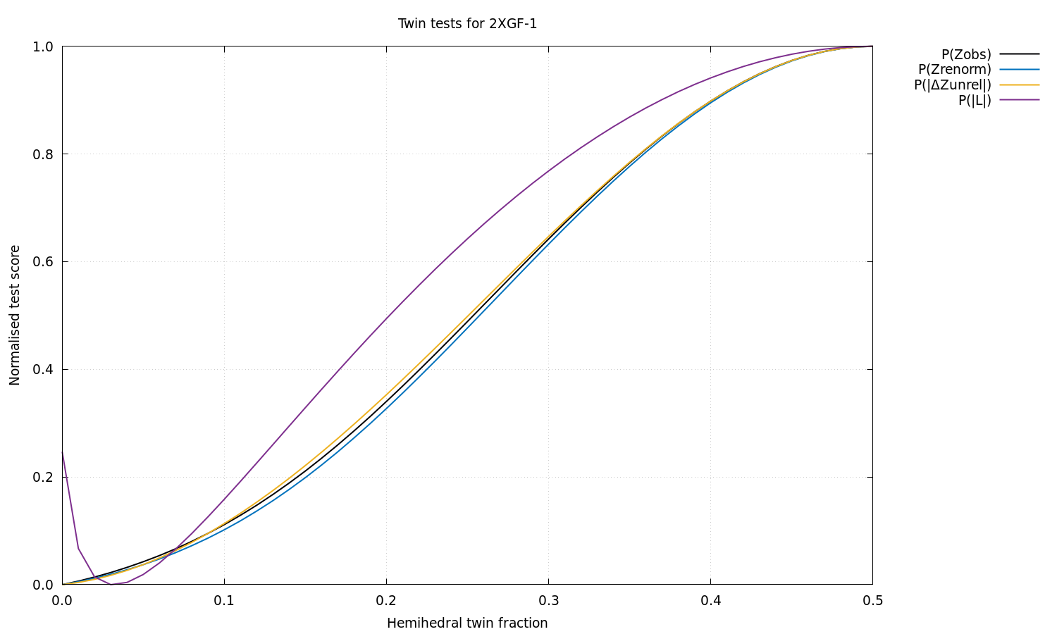
    Estimated twin fraction from K-L divergence of observed acentric Z probability (before, after):  0.00  0.00
    
    Estimated twin fraction from K-L divergence of posterior acentric Z probability:                 0.00
    
    Estimated twin fraction from K-L divergence of unrelated acentric |delta-Z| probability:         0.00
    
    Padilla & Yeates L test for twinning, acentric moments of |L|:
    <|L|> (normal = .500; perfect twin = .375):  0.478
    <L^2> (normal = .333; perfect twin = .200):  0.305
    
    Estimated twin fraction from K-L divergence of |L| probability:                                  0.03
    
    

  • Normalised scores from a panoply of hemihedral twinning tests.
  • For each test, the most likely hemihedral twin fraction based on the data is the one corresponding to the lowest normalised score (i.e. like the R value).  For all the distributional tests (i.e. those of the form P(x)), the raw score before normalisation is the Kullback-Leibler divergence from the theoretical to the observed probability density.  For the non-distributional Britton and Fisher & Sweet tests, it's the count of extra negative intensities obtained by detwinning the data using each possible twin fraction.  Note: click image to enlarge.



    Reference


  • VIEW the color-coded reciprocal lattice.
  • VIEW the complete job log (probably only useful for diagnosing a failed job).